All published articles of this journal are available on ScienceDirect.
Underground Roundabouts: Analysis of Several Layouts for A Case Study in Urban Area
Abstract
Background:
Roundabouts eliminate some of the most complex and dangerous aspects of traditional at-grade road intersections. In recent times, novel two-level roundabout layouts have been proposed (i.e. target-roundabout and four-flyover roundabout). Nevertheless, no research on underground roundabouts is available. This paper analyzed the underground roundabout planned in the city of Trento (Italy).
Objective:
The paper examines an underground roundabout in an urban context, planned with the purpose of alleviating traffic congestion in the city of Trento (Italy). Four different layouts have been studied.
Methods and Results:
This study was conducted with the help of traffic microsimulation in the AIMSUN environment. The traffic model was calibrated using GEH index. The simulated queues are significantly close to the real queues measured in the year 2020.
Conclusion:
Underground roundabout can reduce queues, travel times, fuel consumption, air pollutant emissions etc. This particular type of roundabout could be used in urban contexts with a traffic demand and congestion problems comparable to those of the present study.
1. INTRODUCTION
The main advantage of roundabout intersections is due to the particular geometry that helps to decrease the frequency and severity of collisions by reducing the number of potential conflict points and constraining users to adopt moderate speeds [1-4].
Many researchers observed a noteworthy decrease in accidents after transforming existing signalized and YIELD or stop-controlled intersections into roundabouts; only for example:
- Persaud [5] observed that the decrease in all accidents was 40% and the reduction in injury accidents was 80%;
- Troutbeck [6] observed a 74% reduction in injury accidents following the transformation of 73 roundabouts in Victoria, Australia.
Roundabouts slow the speed of traffic streams and eliminate some of the most complex and dangerous aspects of conventional at-grade road intersections. The operational speeds at multi-lane roundabouts are generally higher than those of single-lane roundabouts [7].
In this type of intersections, correct signs and pavement markings help to reduce speeds and crashes [3].
In the planning and designing phases, the safety performance of roundabouts can be estimated by Crash Modification Factors (CMFs) [8]. CMFs can help detect the change in crash frequency following the implementation of a specific action, such as geometric adjustment, traffic regulations, signs, safety barriers, etc. To estimate CMF values, numerous methods are available: before-and-after study, Empirical Bayes (EB) and Full Bayes (FB) methods [9].
Unconventional roundabouts, such as turbo-roundabouts [10] and flower-roundabouts [11] offer potential safety and environmental benefits [12] and, under selected traffic conditions, provide higher capacity than conventional roundabouts [11].
In recent times, novel two-level roundabout layouts have been designed. In particular, target-roundabout and four-flyover roundabout, despite higher construction costs in comparison to the conventional one, ensure higher capacity, lower delays, queues and traffic emissions [13].
In general, the performance of traffic operations at a roundabout can be represented by these variables (measures of effectiveness, MOE): average delay; average queue lengths; distribution of delays; distribution of queue lengths (i.e. number of vehicles queuing at the entry); number of stopped vehicles and number of accelerations from stop to normal speed; the probability of the empty system [14].
Capacity is the basis of roundabout performance analysis. Capacity evaluations for the whole roundabout refer to simple capacity, total capacity, the mean of reserve capacity, and the mean of the capacity rate at entries [15]. Capacity can be evaluated through closed-form models or by microscopic models implemented in technical software (e.g. Vissim, Aimsun, etc.).
This paper addresses the issue of underground roundabouts that are used only in some countries around the world (e.g. Norway and Switzerland, (Fig. 1). The case study of a new underground roundabout in the urban context of Trento (Italy) has been analyzed. In compliance with the Italian guidelines for the design of road infrastructures, a feasibility study has been carried out [16, 17]. In order to take into account the effect of the intersection geometry (i.e. number of exit lanes and additional right-turn bypass lanes [18] on traffic flow variables (mean speed, density, flow) and traffic emissions, four different scenarios have been considered and compared with each other. Traffic microsimulations were run to identify the most appropriate roundabout geometry to maximize MOE and environmental benefits.
2. THE CASE STUDY
Trento is an Italian city of around 119,000 inhabitants in Trentino-Alto Adige/Südtirol, between the valleys leading from the Brenner Pass to the Dolomites, Garda Lake, Verona and Venice. It is the capital of the Autonomous Province of Trento. According to the Smart city index 2020, published by EY [19], Trento is the most sustainable city in Italy for transport, energy and environment, followed by Turin, Bologna, Mantua and Milan.
Nevertheless, the urban road network of Trento between the streets Piazza Venezia, Port’Aquila and via Dei Ventuno (Fig. 2), adjacent the historic pedestrian centre, is often congested during morning, particularly in the hourly time interval 7:30-8:30.
The area under analysis is characterized both by local and crossing flows coming from different zones of Trento. Especially on the streets “Via Venezia” and “Via Grazioli” queues of hundred meters can be detected, caused by high values of local traffic demand and signalized intersections very close together.
In the current Sustainable Urban Mobility Plan of Trento (PUM) [20], a novel three-arms underground roundabout is planned between the streets “Piazza Venezia” and “Via dei Ventuno” (Fig. 2 and 3) with the aim of achieving the following objectives: to increase the surface of the nearby pedestrian area, increase the vehicles’ mean speed and reduce queues and emissions. The general purpose of the Urban Mobility Plan of Trento is to increase the sustainable mobility in urban and suburban areas by specific actions on road, railway and cycle networks [20-22].


3. METHODOLOGY
The objective of this study is to estimate the benefits given by the novel planned underground roundabout (two circulating lanes and an external diameter of 50 m) in Trento, using specific measures of effectiveness. Four different scenarios have been considered for the urban road network, namely:
- Scenario 0: existing intersections (i.e. without the novel underground roundabout, cfr. Fig. 2);
- Scenario 1: a new underground roundabout with two entry lanes and single exit lane in each arm Fig. (3a);
- Scenario 2: a new underground roundabout with two entry lanes and two exit lanes in each arm Fig. 3b;
- Scenario 3: a new underground roundabout with two entry lanes, two exit lanes in each arm and a right-turn bypass lane Fig. (3c);
- Scenario 4: a new underground roundabout with two entry lanes, two exit lanes in each arm and a right-turn bypass lane. In addition, an elevated pedestrian walkway is considered in the intersection between the streets “via Venezia” and “Piazza Venezia” (Figs. 3d and 4a), where a total pedestrian flow of around 500 ped/h was measured in the time interval 7:30-7:45.
Scenarios 1, 2, 3 and 4 allow the extension of the pedestrian zone, in accordance with the PUM objectives [20]. In Scenarios 3 and 4, the underground roundabout is characterized by the additional right-turn bypass lane. Roundabouts with additional right-turn bypass lane lead to a significant delay reduction compared to conventional ones [18].
For each of the above mentioned scenarios, traffic microsimulations were run to identify the most appropriate roundabout layout, which maximizes the capacity. The road network map of Trento was created by importing Geographic Information System (GIS) data and a 1:5000 scale aerial photograph into the Aimsun microscopic simulation software. Alignment and section of roads were adapted to be in accordance with real geometry. Attribute-data of each road, signalized intersection (e.g. Fig. 4b) and unsignalized intersection (i.e. road shape, design speed, legal speed, number of lanes, lane width, capacity, give way signs, traffic signal cycles, pavement markings, pedestrian crossings, etc.) were obtained by field survey [23]. Furthermore, local public transport has been included in the traffic model. The following information was detected and implemented in the model: route of each line, stop locations, departure frequency, stop-time mean and deviation.


Fig. 5 shows the current urban road network modeled in Aimsun 8.0.8 and used to simulate Scenario 0. In order to simulate Scenarios 1, 2, 3 and 4, the road network was modified as shown in (Fig. 3) near the underground roundabout. Table 1. gives the Origin-Destination matrix (O/D Matrix) of the peak-flow period within the peak hour 7:30-8:30 referred to centroids depicted in Fig. (5). The O/D Matrix has been obtained both from the traffic Flow Diagrams of PUM [20] and by traffic sampling carried out in the year 2020. As it is well known, Aimsun is based on the microscopic traffic model developed by Gipps [24-26]. This car-following states that the maximum speed to which a vehicle (n) can accelerate during a time period (t, t+T) is given by the relationship [26]:
![]() |
(1) |
In which:
- V(n, t) is the speed of the vehicle n at time t;
- V*(n) is the desired speed of the vehicle (n) for the current position;
- a(n) is the maximum acceleration for the vehicle n;
- T is the reaction time.
Instead, the maximum speed that the same vehicle (n) can reach during the same time interval (t, t+T), according to its own characteristics and the limitations imposed by the presence of the lead vehicle (n−1), is [26]:
![]() |
(2) |
In which:
- d(n) (< 0) is the maximum deceleration desired by vehicle n;
- x(n, t) is the position of the vehicle n at time t;
- x(n−1, t) is the position of the preceding vehicle (n−1) at time t;
- s(n−1) is the effective length of the vehicle (n−1);
- d’(n−1) is an estimation of the vehicle (n−1) desired deceleration.
The speed of the vehicle (n) during time interval (t, t+T) is the minimum of the values obtained with expressions (1) and (2):
![]() |
(3) |
The position of the vehicle n inside the current lane is updated taking this speed into the movement equation:
![]() |
(4) |
In addition to the car-following model (Eqs. (1)-(4)), in Aimsun, the following microscopic models are implemented [26]: lane-changing model; look-ahead model; microscopic gap-acceptance model.
According to [27], microsimulation analysis requires 5 steps:
- project scope;
- package selection;
- data assembly and input;
- verification and calibration;
- alternatives analysis and conclusions.
Other authors claim there should be 7 steps [28].
3.1. Model Calibration
Model calibration requires adjusting the parameters of the microsimulation model until the resulting output data agree closely with the system observed data. In other words, and according to a study [29], it is indispensable verifying that the probability (Pr) of the difference between the real system and the simulated system output is less than a prefixed acceptable difference, within a given level of significance [26, 29]:
![]() |
(5) |
Where δ is the tolerable difference threshold indicating how close the microscopic model is to reality and α is the level of significance that tells the analyst how certain is the result achieved.
Among the most used measures of goodness of fit used by the different calibration methodologies as objective functions, the widely used are [26]: the root mean square error (RMSE), the root mean squared normalized error (RMSNE), the mean error (ME), the mean normalized error (MNE), and the GEH index [30].
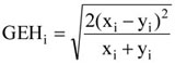
The GEH index, used in this research, can be calculated as follows [30]:
![]() |
(6) |
In which xi and yi are the ith simulated and the observed value of the considered traffic variable (e.g. flow, density, queue, etc.).
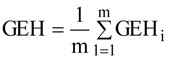
It then estimates an aggregated index by means of the following algorithm [26]:
For i = m (number of counting stations)
If GEHi ≤ 5, then set GEHi = 1
Otherwise set GEHi = 0
End if;
End for;
Let:
![]() |
(7) |
If GEH ≥ 85% then accept the model
Otherwise reject the model
Endif.
If the deviation of the simulated values with respect to the measurement is smaller than 5% in at least 85% of the cases, then accept the model.
In this study, the main parameter used for the model calibration in Aimsun was the vehicle acceleration. Several factors affect acceleration values; the most important are the vehicle type, the engine power and the vehicle’s dimensions.
The floating car method was used to observe the maximum acceleration on the existing road network of Trento urban area, corresponding to the velocity of the vehicle when it starts to move (speed range from 0 to 40 km/h), and the maximum deceleration of vehicles into the studied network. In this regard, real accelerations were measured in situ and collected with a test vehicle equipped with an accelerometer and a recording system.
The following values were detected:
- maximum acceleration: 3.20-4.00 m/s2 (default values in Aimsun: 2.60-3.40 m/s2);
- normal deceleration: 3.80-4.80 m/s2 (default values in Aimsun: 3.50-4.50 m/s2).
Moreover, queues were measured in several streets of the analyzed road network (Table 2).
With the listed acceleration and decelerations, the current road network was simulated in the Aimsun environment (Scenario 0). Table 2. shows the model output, in terms of queues, in comparison with the observed ones
With data of Table 2., using Eq. (7), results GEH = 90%.
Therefore, the model may be accepted because the simulated queues are significantly close to the reality queues.

| id:name |
8537: Brigata Acqui |
8538: Grazioli | 8539: Venezia |
8540: Cave |
8541: Saluga |
8542: Giardini | 8543: Cervara | 8544: Petrarca | 8546: Calepina | 8564: Stazione | 8567: Torre D'Augusto |
8570: Fiera |
8777: Vannetti | Total |
|---|---|---|---|---|---|---|---|---|---|---|---|---|---|---|
| 8537: Brigata Acqui | 0 | 110 | 70 | 2 | 1 | 1 | 10 | 120 | 1 | 80 | 1 | 1 | 2 | 399 |
| 8538: Grazioli | 280 | 0 | 250 | 2 | 1 | 1 | 15 | 350 | 7 | 290 | 2 | 6 | 5 | 1209 |
| 8539: Venezia | 210 | 260 | 0 | 0 | 1 | 1 | 30 | 230 | 15 | 130 | 1 | 15 | 4 | 897 |
| 8540: Cave | 4 | 3 | 4 | 0 | 0 | 0 | 1 | 4 | 0 | 4 | 0 | 0 | 1 | 21 |
| 8541: Saluga | 1 | 1 | 0 | 0 | 0 | 0 | 2 | 1 | 0 | 0 | 0 | 0 | 0 | 5 |
| 8542: Giardini | 1 | 1 | 0 | 0 | 0 | 0 | 2 | 1 | 0 | 0 | 0 | 0 | 0 | 5 |
| 8543: Cervara | 70 | 70 | 50 | 0 | 1 | 1 | 0 | 70 | 7 | 50 | 1 | 3 | 2 | 325 |
| 8544: Petrarca | 90 | 120 | 60 | 0 | 0 | 0 | 5 | 0 | 6 | 90 | 1 | 4 | 3 | 379 |
| 8545: Torre Verde | 95 | 115 | 55 | 0 | 0 | 0 | 5 | 490 | 10 | 40 | 0 | 4 | 2 | 816 |
| 8546: Calepina | 20 | 26 | 6 | 0 | 0 | 0 | 3 | 6 | 0 | 4 | 0 | 0 | 0 | 65 |
| 8567: Torre D'Augusto | 1 | 2 | 2 | 0 | 0 | 0 | 0 | 9 | 0 | 6 | 0 | 0 | 0 | 20 |
| 8570: Fiera | 6 | 8 | 3 | 0 | 0 | 0 | 0 | 3 | 0 | 3 | 0 | 0 | 0 | 23 |
| 8770: F. Ferruccio | 5 | 6 | 2 | 0 | 0 | 0 | 1 | 2 | 0 | 2 | 0 | 0 | 0 | 18 |
| 8772: S. Marco | 2 | 3 | 2 | 0 | 0 | 0 | 2 | 6 | 0 | 4 | 0 | 0 | 0 | 19 |
| 8774: Gazzoletti | 1 | 2 | 1 | 0 | 0 | 0 | 1 | 13 | 0 | 1 | 0 | 0 | 1 | 20 |
| Total | 786 | 727 | 505 | 4 | 4 | 4 | 77 | 1305 | 46 | 704 | 6 | 33 | 20 | 4221 |
| i | Streets | Simulated queue (xi) [vehicles] | Observed queue (yi) [vehicles] | GEHi | GEHi set |
|---|---|---|---|---|---|
| 1 | via Venezia | 125 | 73 | 5.23 | 0 |
| 2 | via Cervara | 15 | 13 | 0.53 | 1 |
| 3 | via dei Ventuno, direction 1 | 25 | 9 | 3.88 | 1 |
| 4 | via dei Ventuno, direction 2 | 20 | 14 | 1.46 | 1 |
| 5 | via Clesio | 9 | 7 | 0.71 | 1 |
| 6 | Port’Aquila | 21 | 17 | 0.92 | 1 |
| 7 | via Grazioli | 49 | 53 | 0.56 | 1 |
| 8 | Piazza Venezia, direction 1 | 8 | 14 | 1.81 | 1 |
| 9 | Piazza Venezia, direction 2 | 13 | 7 | 1.90 | 1 |
| 10 | via Giardini | 9 | 7 | 0.71 | 1 |
4. RESULTS AND DISCUSSION
The main simulation results are shown in Figs. (6-11). The analyzed virtual traffic detectors are illustrated in Fig. (2). It is noted that the introduction in the road network of the underground roundabout (Scenarios 3 and 4) with the right-turn bypass lane allows a significant density reduction, and traffic mean speed increases, compared to existing road configuration (Scenario 0).

Furthermore, among the alternative, underground roundabout solutions tested (Fig. 3) for the urban area, the best layout appears to be reported in the previous (Fig. 3d) (Scenario 4): it produces remarkable improvement during the studied peak hour (7:30-8:30) in terms of mean speed and traffic density.
For the analyzed case study, the construction of an additional right-turn bypass lane (Scenarios 3 and 4) is mandatory. In fact, the right-turn bypass lane increases the capacity of the underground roundabout. This result is in agreement with another study [31].
On the other hand, a roundabout with one exit lane (Scenario 1) and roundabout with two exit lanes (Scenario 2) produce worst traffic conditions respect to the current road network configuration. (Fig. 6) elucidates the above points: in time interval 8:00-8:30, the traffic mean speed is in the range 20-30 km/h for the Scenario 0; the corresponding values are 10 km/h for Scenarios 1 and 2 and 50 km/h for the Scenarios 3 and 4. Similar considerations can be deduced by observing the (Figs. 7-9).
The traffic simulations of the four scenarios also revealed the data about the following traffic and environmental parameters, evaluated for the entire road network (Fig. 5):
(a) total number of vehicles in the queues and travel time;
(b) fuel consumption and CO2 Pollution Emission (estimated with QUARTET [32].
The results are depicted in (Figs. 10 and 11). Once again, the best scenarios are represented by the underground roundabouts with an additional right-turn bypass lane (Scenarios 3 and 4).





More in detail, the differences between the traffic parameters values are linked to the elevated pedestrian walkway of Scenario 4 that abolishes the pedestrian flows crossing the road intersection between the streets “via Venezia” and “Piazza Venezia” in the Scenario 3 (and in all the other Scenarios).
In order to evaluate the feasibility of the financial and economic investment required for the underground roundabout construction, a cost-benefit analysis (CBA) for each Scenario is required [33-36]. In CBA, the expected number of crashes has to be performed using Surrogate Safety Assessment Model [37], HSM model [8, 38] or similar method [39], in function of traffic flows, roundabout geometry (Fig. 3), road safety barrier type [40-43] and vehicles typology (conventional vehicles, autonomous vehicles, etc.) [44].
In conclusion, Scenario 4 is the most suitable for solving current congestion problems. Underground roundabout with a right-turn bypass lane allows to significantly reduce queues, travel times, fuel consumption and polluting emissions. It would also allow expanding the pedestrian area of the historic centre of the city of Trento and to enhance a historical-artistic asset of fundamental importance for the city, represented by the Buonconsiglio Castle, whose entrance is in “via Clesio” (Fig. 2).
CONCLUSION
There are many benefits associated with roundabouts, including preventing accidents. The literature review indicated several articles on conventional and innovative roundabouts with at-grade or two-level configuration. There is no study focused on underground roundabouts, although it is an intersection type already implemented in some countries such as Norway and Switzerland.
To cover this gap, the paper addresses the case study of a novel underground roundabout in Trento (Italy). The feasibility study concerns an urban area in which traffic congestion can be detected during the morning peak hour. To alleviate this problem, a new underground roundabout, with two circulating lanes and an external diameter of 50 m, was planned. Four different scenarios have been considered in the function of roundabout geometry. Traffic microsimulations, in Aimsun environment, were run to identify the most appropriate layout.
According to the simulation results, the roundabouts with one exit lane (Scenario 1) and with two exit lanes (Scenario 2) would generate worst traffic conditions with respect to the existing road configuration, with a remarkable vehicular mean speed reduction. Therefore, the construction of an additional right-turn bypass lane (Scenarios 3 and 4) would be essential. The analyses confirm that the best scenarios are represented by the multi-lanes underground roundabouts with two entry lanes, two exit lanes for each arm and a right-turn bypass lane that increases the roundabout capacity.
For the analyzed case study, the construction of an underground roundabout could reduce queues, travel times, fuel consumption, air pollutant emissions and allow expanding the current pedestrian area of the historical city centre. In conclusion, underground roundabouts could be widely used in cases comparable to those proposed in this research.
CONSENT FOR PUBLICATION
Not applicable.
AVAILABILITY OF DATA AND MATERIALS
The authors confirm that the data supporting the findings of this research are available within the article.
FUNDING
None.
CONFLICT OF INTEREST
The author declares no conflict of interest, financial or otherwise.
ACKNOWLEDGEMENTS
Declared none.







