All published articles of this journal are available on ScienceDirect.
Sustainable Public Transportation Evaluation using a Novel Hybrid Method Based on Fuzzy BWM and MABAC
Abstract
Background:
The transportation sector has wide-ranging effects on the human societies. Public transportation has a key and undeniable role in the lives of people in society and affects important aspects such as economic, social, cultural and environmental. Therefore, assessing the sustainability of public transportation in urban areas can be considered as a challenge for transportation policy makers.
Methods:
In this study, a novel hybrid multi-criteria decision-making (MCDM) method is proposed to evaluate sustainable public transportation in Tehran. Evaluation criteria have been identified using the literature and experts’ opinion. The proposed method integrates the fuzzy best-worst method (FBWM) and the multi-attributive border approximation area comparison (MABAC) method. a group of three experts determined the weight and importance of each criterion using FBWM. The MABAC method was then used to rank sustainable public transport alternatives.
Results:
The results indicate the reliability of the proposed method. Also, we can see that the results are congruent with the actual conditions of public transportation. The studied alternatives have been evaluated, and according to the decision criteria, metro and e-hailing have been the most sustainable alternatives. It is noteworthy that the economic and financial sustainability, service availability and environment sustainability have been the most important criteria.
Conclusion:
The proposed framework in this study can be used by public transportation planners and policy makers to identify sustainable options in order to consider facilities and implement incentive policies in this field. Also, the results of the proposed method used in this study can be used as a suitable guidance to assess the sustainability of public transportation.
1. INTRODUCTION
Public transportation has a key and undeniable role in the lives of people in society and affects important issues such as economical, social, cultural, and environmental aspects of the society. In recent years, the use of public transport has increased rapidly, and given the complexities of today's world, this growing trend is expected to continue in the coming years. Despite the technological advances made in public transportation and its benefits for the people, there are also problems in this regard for today's societies. Increased environmental pollutants, traffic, noise pollution, and maintenance costs are some of the issues that have emerged as a result of the increasing use of public transportation. Various organizations, especially municipalities, as policy-making units in this field, are forced to make strategic decisions to deal with these issues. In this way, transport policy makers and experts in municipalities and environmental organizations invest in sustainable public transport systems to not only increase the efficiency of these systems, but also make them environmentally friendly and minimize the problems caused by the increase of urban vehicles. Efficient and safe transportation systems lead to a stable public transportation and help to create an environmentally friendly metropolitan [1]. Public transportation is one of the most important issues in any human society that can contribute to social, economical, and environmental development. Encouraging people to use public transportation significantly improves public health by reducing the use of private cars and improving public transportation without air pollution [2]. Adopting effective and dynamic measures to strengthen public transportation systems in order to reduce the adverse effects of these systems is one of the important necessities and goals in this field. People in cities use public transportation systems, including metro, cars, buses, bicycles, boats and ships [3]. Due to factors such as population growth, concentration of life in large and industrial cities, and increasing levels of environmental pollutants, necessity and importance of decision-making and planning to achieve sustainable public transport is felt more than ever. One of the important and efficient tools for the development of a sustainable urban environment is transportation planning. Sustainable urban transportation results from sustainable transportation planning. A sustainable public transportation system is a system that, while meeting our current needs, does not jeopardize the abilities of future generations to meet their needs [4]. According to the definition provided by the Center for Sustainable Transport (1997), a sustainable transport system has the following features [5]:
● Meets the access needs of individuals and communities using methods that are compatible with the human health and safety while maintaining justice within and between different generations.
● Provides a convenient, high-performance, and cost-effective transportation and also supports a vibrant economy
● Limits the spread of waste on Earth and minimizes the consumption of non-renewable energies, limits the consumption of renewable resources through the implementation of reuse and recycling programs, and minimizes noise production and the use of land.
Sustainable cities are economically efficient and self-sufficient, as well as socially just and contribute to the protection of the environment and various natural species [6]. Therefore, sustainability of the public transportation systems can be essential for improving various aspects of the daily lives of people in society. Much research has been done by researchers on the sustainability of public transportation. Efficient decision-making approaches are needed to select and analyze a sustainable public transportation system. The main criteria of sustainability, including economic, social and environmental criteria and their related sub-criteria can be quantitative or qualitative [7]. Because multiple criteria are used to measure the performance and sustainability of public transportation systems, this study uses Multi-Criteria Decision-Making Methods (MCDM). The purpose of this study is to evaluate the sustainability of public transportation in Tehran using a new hybrid approach called Fuzzy Best-Worst Method (FBWM) based on α-cut analysis and Multi-Attributive Border Approximation Area Comparison (MABAC) method. FBWM method has been used to calculate the weight of decision criteria due to its high accuracy, less pairwise comparisons, ease of calculations, and also greater consistency of comparisons. The MABAC method has also been used to select the best alternative.
The rest of the article is organized as follows: In section 2, The literature on sustainable public transportation is reviewed and the decision criteria are defined and explained. Section 3 describes the research methodology, which includes the introduction of a new hybrid MCDM method. In section 4, Sustainability of the public transportation in tehran is evaluated using the proposed method and the results are discussed. Conclusions and suggestions are provided in section 5.
2. LITERATURE REVIEW
The big cities in the world usually attract and accommodate a lot of people. This causes problems such as traffic congestion, ecological problems, and social tensions, accordingly reduces the quality of life in these cities, so there is a need for special attention by policymakers and local authorities [8]. The transportation sector has wide-ranging effects on the environmental, social, and economic aspects of human societies [9]. On the other hand, public transportation has been stated to be a gateway to a sustainable access system [10]. In order to assess the sustainability of public transportation systems, this study presents a hybrid approach based on multi-criteria decision-making methods. Sustainability assessment in public transportation systems requires the correct identification of decision criteria. In this section, the studies related to the evaluation of sustainability in public transportation are reviewed in order to identify and explain the decision criteria. Some of the studies that have evaluated urban transportation systems with regard to sustainability aspect are mentioned here.
Awasthi et al. proposed a MCDM approach to assess the sustainability of transportation systems in uncertain conditions. They first identified the criteria required for evaluating sustainability, and in the second step, evaluated the criteria using expert opinions and linguistic terms, and finally determined the best alternative according to the decision-making criteria using the TOPSIS method. In the third step, sensitivity analysis was performed to investigate the effect of criteria weights on the decision-making process [5]. Yang et al. used MCDM to assess the sustainability of transportation infrastructure development. They used a wide range of social, economic, and environmental criteria to assess sustainable development, and finally used a Zero-One Goal Programming (ZOGP) to create a mathematical model for evaluating the sustainability of public transportation projects in Taiwan [11]. Nassereddine & Eskandari proposed an integrated MCDM approach including delphi method, Group Analytical Hierarchy Process (GAHP), and promethee method to evaluate public transportation systems in Tehran. They used sensitivity analysis to analyze the impact of criteria weights on the decision-making process. The results of their research showed that metro, taxi, and BRT are the most important public transportation alternatives in Tehran [12]. Büyüközkan et al. proposed a hybrid method based on Intuitionistic Fuzzy Choquet Integral (IFCI) and group decision making methods to evaluate the sustainability of urban transportation alternatives. In their study, several criteria were identified for measuring sustainability according to the literature review and opinions of experts and the proposed alternatives were evaluated and ranked using their proposed method. Findings showed that dependencies among decision criteria significantly affect the process of selecting the most sustainable urban transportation system and can change the ranking [13]. In another study, the application of big data in sustainable transportation strategies was examined in Taipei, Taiwan. Sustainability assessment indicators were identified using literature review, then with the help of six experts and fuzzy Delphi method, decision indicators were identified. Using a combination of analytic network process and Data-Mining technique, appropriate decision-making strategies to respond to the dynamics of transportation in urban environments were defined and described [14]. Jasti & Ram evaluated the city bus system according to various sustainability criteria to achieve a sustainable transportation system in India. A total of 29 criteria for decision making were identified and divided into 8 groups; then these criteria were evaluated using MCDM techniques such as AHP and direct weighting. The results showed that the city bus system was about 70% efficient [15]. Seker & Aydin evaluated the sustainability of public transportation alternatives at a large public university in an urban area. For this purpose, they proposed an integrated MCDM method including interval-valued intuitionistic fuzzy analytical hierarchy process (IVIF-AHP) and COmbinative Distance-based Assessment (CODAS). In order to confirm the results of the proposed method, sensitivity analysis was performed and also a comparative approach was used to confirm the superiority of the proposed method [3]. In another study, a Multiple Attribute Decision-Making (MADM) method was used to select sustainable public transportation systems in uncertain conditions. First, a fuzzy set and an intuitionistic intuitive fuzzy set were generalized. Then, in order to validate the proposed method, a real case in Canada was examined and analyzed [16]. Naganathan and Chong examined two key challenges in assessing the negative effects of transportation systems on the environment and society. The first challenge is to define and understand the intents of sustainable practices, and the second challenge was about quantifying and calculating the effectiveness of practices. Using the proposed approach, they analyzed the sustainability assessment of transportation policies and systems [17]. In another study, an integrated approach, including system dynamics and the ANP method, was proposed to evaluate sustainable transportation policies. Five sustainable transportation policies were analyzed using the ANP method and were described as a numerical example [18]. In order to prevent and reduce the negative consequences of freight transportation systems, a decision support framework was proposed to evaluate the sustainable transportation system. The proposed approach was developed both using DEMATEL and MABAC methods and using rough numbers [19]. In another study, sustainable transportation systems were assessed in Montevideo, Uruguay. Stable modes identified for public transportation included electric buses, public bicycles, and electric scooters. Quantitative and qualitative indicators were defined to assess the criteria. The results showed that public bicycles and electric buses are the most cost-effective public transportation options. However, many people in different parts of the city have more limited access to these sustainable transportation systems [20].
Chandra & Kumar introduced a crowd-based social interaction framework for evaluating sustainable transportation systems such as walking, cycling, and public transportation. A total of 77 participants from California State University were surveyed to evaluate how they were transported to the university. The results showed that about 19% of them used one of the sustainable transportation options instead of using a private car. The results also showed that the use of crowdsourcing as a tool for social interaction has a significant impact on the choice of mode of transportation in society [21]. In another study, the different effects of neighborhood design and planning factors related to walking in work trips on sustainability of transportation were examined. Linear regression was developed and used to solve the decision problem. The results showed that different patterns of streets in different urban neighborhoods should be taken into account in order to develop and promote sustainable public transportation [22].
In this study, we have attempted to include such criteria that have proven the most importance and frequency in previous studies and more adaptation to the urban condition of Tehran. The selection of the criteria was done according to the important criteria presented in the literature review and agreement among experts. The inclusion criteria were selected according to the dimensions of sustainable development and public transportation systems. The selected criteria are as follows: Service availability (C1), Service reliability (C2), Comfort (C3), Fare (C4), Passenger information systems (C5), Environmental sustainability (C6), Social sustainability (C7) and Economic and financial sustainability (C8); C4 is of cost type (the less the better) and the rest of the criteria are of profits type (the more the better). The experts were selected among those active in the field of public transportation that had a high level of experience in this field and also had sufficient knowledge about the situation of public transportation in Tehran. Information and data were collected through a questionnaire and face-to-face interviews with the experts. The identified decision criteria are as follows:
2.1. Service Availability (C1)
The availability of a public transport system is evaluated from different aspects. The number of transfers made by a transport system compared to other alternatives indicates the availability of that system. Also, the intensity and frequency in the transport system are evaluated to calculate the strength of the system [15]. The service availability has become very important due to the growing dependence on telecommunication networks in the field of transportation [23].
2.2. Service Reliability (C2)
Service reliability in public transportation systems has been one of the most important aspects from the passengers' point of view. Reliability is the ability of the system to reach the destination on time and according to the previously set schedule [24-26]. Many people who travel for business by public transportation systems place the utmost importance on service reliability and time efficiency [27]. A system with high reliability can provide better results than other systems [15].
2.3. Comfort (C3)
Comfort is one of the qualitative aspects of transportation systems. Comfort in public transport can be measured based on the cleanliness and air conditioning of vehicle cabins [24, 28]. Although low-cost transportation has its own proponents, there are many people who prefer convenience over the travel costs, and this shows the importance of this criterion [15, 29].
2.4. Fare (C4)
Fare refers to the value created for the passenger in return for the cost he pays and shows him the cost-effectiveness of the transportation system [15] [28]. Due to the importance of using public transportation and its numerous benefits, in some countries the concept of Free-Fare Public Transport (FFPT) has been introduced to encourage people and create a culture in society [30].
2.5. Passenger Information Systems (C5)
Due to technological advances and widespread public access to smartphones, passenger information systems (PIS) are very important today because of their important role in producing useful information to improve the entire transportation process [31, 32]. The big data generated by these systems can help policy makers make important decisions in the field of public transportation. The use of new technologies such as PIS and GPS in transportation systems has become essential. On the other hand, the lack of information provided by transport agencies causes frustration for passengers when using public transport [33, 34]. Passenger information systems can give passengers easy and fast access to information and help them to be aware of various issues in the field of public transportation [35].
2.6. Environmental Sustainability (C6)
In public transportation systems, paying attention to the environment is one of the basic goals to achieve environmental sustainability. Encouraging people to use public transportation instead of private vehicles will reduce air pollution and reduce fuel consumption. In Tehran, for example, regular buses and BRTs often use compressed natural gas fuel. Fuel efficiency and environmental friendliness are among the components of environmental sustainability that should be considered in public transportation [36-38]. Often, indicators related to environmental sustainability are more used to achieve transport sustainability [39].
2.7. Social Sustainability (C7)
This criterion plays an important and fundamental role in achieving long-term sustainability. Various aspects such as accessibility to diferently-abled people, social priority, and signal priority are examined in this section [15]. Public transportation systems include various human activities. Therefore, considering the dimension of social sustainability in this area is needed [40]. To achieve a sustainable transportation system, it is necessary for decision makers and experts to evaluate, monitor, and report the social sustainability of the transportation system [41].
2.8. Economical and Financial Sustainability (C8)
Public transportation systems must also be economically sustainable in order to survive and meet the financial expectations of stakeholders. Various factors such as employment ratio, non-fare revenue, and operation ratio are used in this area [15]. Understanding the methods for evaluating economic activities is very important to create appropriate indicators for the sustainability of transportation [42].
3. METHODOLOGY
Determining the importance of the criteria used for evaluating the sustainable public transportation systems and ranking the alternatives are the two main processes of this study. In Section 3.1, we introduce the FBWM technique to determine weights and importance of evaluation criteria; Section 3.2 introduces the MABAC method, which is one of the methods used for ranking the alternatives in MCDM. Choosing the right approach to calculating the importance of criteria is very important. According to the literature review and previously conducted studies, the method presented in this study has led to innovation from several perspectives, which is as follows: This study uses a combination of two relatively new methods to assess criteria and alternatives, which integrates the benefits of both methods and provides an integrated approach. Reducing the number of pairwise comparisons, making the comparisons more consistent, saving time, and considering uncertainty are some of the benefits of the FBWM approach. On the other hand, the MABAC method also has advantages such as simple mathematical equations, and because it calculates boundary estimation areas for ideal and counter-ideal scenarios, it can lead to comprehensive results.
3.1. FBWM
There are several methods to weigh decision criteria. These methods are mainly divided into two categories. The first category is objective weighting methods and the second one is subjective weighting methods. The weighting methods that fall into the first category weigh the decision criteria by mathematical methods, and decision makers have no role in weighing the criteria. However, in the methods that fall into the second category, the importance of criteria is weighed using the decision makers’ preferences. In this method, there is no need to calculate the correlation between the decision criteria [43]. BWM is one of the relatively new MCDM techniques in which the most important and the least important (so-called the best and worst) criteria are selected and the other criteria are compared to them (these comparisons are called reference comparisons). Then, a maximum-minimum problem is formulated and the weights of the indices are obtained. The ability to calculate the consistency rate of decision maker comparisons is one of the advantages of this method [44]. Also, we know that the preferences that decision makers use to make comparisons are often ambiguous. When there are ambiguos and uncertain conditions in the decision process, fuzzy set theory is used to model and solve problems [45]. Amiri et al. proposed fuzzy best-worst method in which the decision maker is able to adjust different levels of uncertainty; their proposed model involved performing α-cut operations on fuzzy numbers and converting them to closed intervals [46]. In this study, we used FBWM to obtain the weights and importance of the criteria for sustainable public transportation system assessment. For this purpose, we first provide definitions of triangular fuzzy numbers and α-cut operations. We then describe the steps of FBWM implementation and how to use it to obtain the importance of evaluation criteria.
Definition 1
The Triangular Fuzzy Number (TFN) Ã = (l.m.u) is a real number R and the order of its elements is l < m < u ; For a TFN, the membership function is
, where [47]:
![]() |
(1) |
Definition 2
For fuzzy number à the α-cut operation is defined as follows [48]:
![]() |
(2) |
If we write a triangular fuzzy number as à = (l.m.u), then α-cut is performed on it as follows [49]:
![]() |
(3) |
The membership function of the TFN and its α-cut can be seen in (Fig. 1).
The steps for implementing FBWM for sustainable public transportation system assessment criteria are as follows:
Step 1. First, the evaluation criteria are determined; in this study, evaluation criteria are determined by reviewing the literature and using the expert opinions and are shown as {C1,C2,...,Cn}.
Step 2. The most important and least important criteria are determined by experts to perform the reference comparisons.
Step 3. The priorities of the most important criterion over the rest of the criteria are determined by the experts. To compare the criteria, the experts determine the priorities of the criteria using the linguistic variables and membership functions provided in Table 1 [50].
The priority of the most important criterion over the j-th criterion is determined by the experts as
.

| Linguistic Variables | Triangular Fuzzy Numbers |
| Equal | (1,1,1) |
| Weak advantage | (1,2,3) |
| Not bad | (2,3,4) |
| Preferable | (3,4,5) |
| Good | (4,5,6) |
| Fairly good | (5,6,7) |
| Very good | (6,7,8) |
| Absolute | (7,8,9) |
| Perfect | (8,9,10) |
Step 4. priority of each criterion over the worst criterion is determined by the experts as
using fuzzy numbers and linguistic variables provided in Table 1, where Ãww = (1.1.1).
Step 5. The α-cut operation is performed on the fuzzy preferences selected by the experts using the Equation (3); for α
[0 1] the fuzzy preferences of the experts are converted to a closed interval [lα.mα] The higher the satisfaction level of the experts, the greater the certainty of the decision and therefore, the value of α should be selected closer to 1. On the other hand, if the satisfaction level of the experts is lower, the decision problem has more uncertainty, so a smaller value should be chosen for α.
Step 6. the optimal weights of the evaluation criteria for a Sustainable Public transportation system are calculated, which are shown as
.
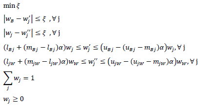
The FBWM model is written as Equation (4) taking into account that the values of the criteria weights are non-negative.
![]() |
(4) |
The FBWM model presented in Equation (4) can be formulated as Equation (5). The advantage of Equation (5) over Equation (4) is that there is no need to perform α-cut operations on expert preferences, and therefore there is no need to perform the Step 5 in the FBWM implementation. In fact, α-cut operations on fuzzy numbers are included in the constraints of Equation (5).
![]() |
(5) |
The Consistency Index (CI) in the FBWM model is calculated using the priority of the best criterion over the worst criterion (ãBW) [46]. The value of the consistency index for different values of ãBW can be seen in Table 2.
The consistency rate (CR) is calculated using Equation (6) where ξ* is obtained by running the model and CI is obtained from Table 2 [44].
![]() |
(6) |
3.2. MABAC
MABAC (Multi-Attributive Border Approximation Area Comparison) is a method for prioritizing the alternatives in MCDM problems. The MABAC method ranks each alternative based on the distance of the criterion function of each criterion from the border approximation area, and it has 6 steps as follows [51]:
Step 1. In the first step, the initial decision matrix (X) is formed; the rows of this matrix represent the alternatives and the columns represent the evaluation criteria. In this matrix, each alternative is evaluated using the vector Ai = (Xi1,Xi2,...,Xin) , where represents the value of i-th alternative for the j-th criterion.
![]() |
(7) |
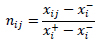
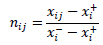
Step 2. In this step, the elements of the initial decision matrix (X) are normalized.
| ᾶ BW | (1,1,1) | (1,2,3) | (2,3,4) | (3,4,5( | (4,5,6) | (5,6,7) | (6,7,8) | (7,8,9) | (8,9,10) |
| CI | 0 | 1 | 1.63 | 2.3 | 3 | 3.73 | 4.47 | 5.23 | 6 |
![]() |
(8) |
The Elements of the matrix X are normalized as follows:
a) For positive criteria (which are of profit type and their higher value are more desirable):
![]() |
(9) |
b) For negative criteria (which are of cost type and their lower value are more desirable):
![]() |
(10) |
Where
are defined as follows:
indicates the maximum observed values of all alternatives for j-th criterion.
indicates the minimum observed values of all alternatives for j-th criterion.
Step 3. Calculating the weighted decision matrix (V). The elements of the weighted decision matrix are calculated using Equation (11).
![]() |
(11) |
Where wj is the weight of j-th criterion. After weighting all the elements, the weighted decision matrix can be written as Equation (12).
![]() |
(12) |
Where n and m are number of criteria and number of alternatives, respectively.
Step 4. Calculating the border approximation area matrix (G). In this step, we need to define the border approximation area for each criterion as Equation (13):
![]() |
(13) |
Where vij are the elements of the matrix V and m represents the number of alternatives.
After calculating the values of gj for all criteria, the border approximation area matrix with dimensions of n × 1 (n is the total number of criteria) is obtained.
![]() |
(14) |
Step 5. Calculating the distances of the alternatives from the border approximation area and creating the Q matrix. In the Q matrix, the elements qij are obtained by subtracting the border approximation area matrix (G) from the weighted decision matrix (V).
![]() |
(15) |
The i-th alternative can belong to one of the following three areas: border approximation area (G), upper approximation area (G+), or lower approximation area (G-); In other words, it can be expressed as Ai
{G V G+ V G-} . The ideal alternative is belong to the upper approximation area (G+) and the anti-ideal alternative is belong to the lower approximation area (G-) (Fig. 2). It is possible to check which of the three areas each alternative falls into for each criterion.

Using Equation (16), it can be determined that which approximation area the i-th alternative belongs to.
![]() |
(16) |
Ai can be considered as the best alternative when it is in the upper approximation area (G+) for most of the criteria. For example, if we have six criteria for evaluating Ai and for 5 of which, is in the upper approximation area (G+), it means that Ai is close to or equal to the ideal alternative. Also, if Ai is in the lower approximation area (G-) for the remaining single criterion, it means that it is close to or equal to the anti-ideal alternative.
Step 6. Final ranking. In the final step, the values of the criterion functions are calculated for each alternative. In other words, for each alternative, the sum of the elements of all columns of the Q matrix is calculated (equation 17).
![]() |
(17) |
4. CASE STUDY
In this study, sustainability of public transportation systems in Tehran was evaluated as a case study. Tehran is the most populous city, the center of Tehran province, and the capital of Iran)the geographical map of Tehran province and city can be seen in Fig. (3). The population of Tehran is approximately 8.5 million [52] and with the daily arrival of travelers from neighboring cities, its population reaches 15 million during the day [12]. In recent years, the increase in daily urban travels has caused heavy traffic and has become an important challenge for the municipality of Tehran. On the other hand, urban transportation has many different effects on the environment (such as air pollution and noise pollution caused by road traffic). Designing a public transportation system based on sustainability criteria can greatly reduce its destructive effects on the environment. One of the fundamental steps in group decision making is the careful selection of experienced and knowledgeable figures in the field of study. The expert panel of this study comprised of the individuals with such characteristics as having related educational background, useful experiences, willingness, sufficient time to participate in assessments, and effective communication skills. In this study, an MCDM framework is developed that determines the criteria weights and ranks sustainable public transportation alternatives using opinions of three experts. The role of experts in this study is to determine the priority of sustainable public transportation evaluation criteria to define the amount of FBWM input parameters as well as participation in the formation of the criterion-alternative matrix, where the position of each alternative in relation to each criterion is evaluated by group members and then determined and prioritized by the MABAC method.
The criteria for evaluating a sustainable public transportation system have been identified in section 2 through a review of the literature and expert opinions. The weights and priorities of the 8 identified criteria are determined using the FBWM. For this purpose, a three-member expert team first creates pairwise comparison vectors using linguistic terms and fuzzy numbers provided in Table 1 for evaluation criteria. In the generated vectors, each expert selects the most important and least important criteria and determines the priorities of the other criteria over them. Table 3 shows the vectors created by the experts to compare the evaluation criteria.
| Criteria | Expert 1 | Expert 2 | Expert 3 | |||
| Best: C1 | Worst: C5 | Best: C6 | Worst: C2 | Best: C3 | Worst: C5 | |
| C1 | E | FG | PR | PR | NB | G |
| C2 | WA | G | A | E | PR | PR |
| C3 | NB | PR | G | NB | E | VG |
| C4 | WA | G | FG | WA | G | NB |
| C5 | FG | E | NB | FG | VG | E |
| C6 | PR | NB | E | A | NB | G |
| C7 | G | WA | WA | FG | FG | WA |
| C8 | PR | NB | WA | VG | WA | FG |

In this study, the value of α, which indicates the level of uncertainty of experts' preferences, is considered equal to 0.5. Then, the preferences selected by each expert are considered separately as parameters of the FBWM model and the criteria weights are calculated using Equation (5). Once the FBWM model has been implemented once per each expert and the weights of the criteria have been calculated, the consistency rate of each expert's decisions is calculated. By calculating the consistency rate of experts' decisions, we can ensure the accuracy of the comparisons made by each expert. For this purpose, first, the consistency index is extracted from Table 2 based on the priority of the most important criterion over the least important criterion, then the consistency rate is calculated for each expert using Equation (6). The results of the consistency rate calculation showed that the comparisons made by the experts are consistent and acceptable. Table 4 shows the criteria weights and the consistency rate of the decisions for each expert.
The average of the obtained weights was calculated to use it for ranking the alternatives. The results showed that the economical and financial sustainability, service availability, and environmental sustainability are the most important criteria for evaluating the sustainable public transportation system in Tehran, respectively.
Tehran's public transportation alternatives are ranked using the MABAC method. Six alternatives were identified which are briefly defined below:
● BUS (A1): A large motor vehicle that usually travels on a fixed route and has special stations and transports passengers in exchange for a fare.
| Criteria | Expert 1 | Expert 2 | Expert 3 | Average Weights |
| C1 | 0.26 | 0.084 | 0.126 | 0.157 |
| C2 | 0.186 | 0.027 | 0.09 | 0.101 |
| C3 | 0.111 | 0.065 | 0.286 | 0.154 |
| C4 | 0.186 | 0.053 | 0.07 | 0.103 |
| C5 | 0.037 | 0.117 | 0.034 | 0.063 |
| C6 | 0.08 | 0.262 | 0.126 | 0.156 |
| C7 | 0.062 | 0.196 | 0.057 | 0.105 |
| C8 | 0.079 | 0.196 | 0.21 | 0.162 |
| ξ | 0.019 | 0.032 | 0.029 | - |
| CI | 3.73 | 5.23 | 4.47 | - |
| CR | 0.005 | 0.006 | 0.006 | - |
● Bus Rapid Transit (BRT) (A2): A fast bus-based public transportation system that has special roads and stations and has an optimal capacity system and high reliability compared to the conventional bus system.
● Metro (A3): Metro is a fast rail-based transportation system that runs underground throughout the city and often uses electric power.
● Taxicab (A4): A public transport vehicle which has a driver and it is used by one passenger or a small group of passengers for a non-shared ride.
● E-Hailing (A5): The process of requesting a taxi, car, limousine, or any other type of vehicle by smart devices connected to the internet such as smartphones and laptops.
● Radio Taxi (A6): A taxi that operates via radio waves. When the passenger calls a specific number, the radio operator finds and introduces the nearest taxi to the passenger.
In the MABAC method, the first step is to form an alternative/criterion matrix. For this purpose, each of the experts determines the value of each alternative for each criterion using the linguistic terms provided in Table 5. All of the criteria are of positive type (their higher numerical values are more desirable) except criterion C4 which is of negative type (its lower numerical value is more desirable). Of course, because we use qualitative linguistic terms, the experts assume that C4 is also of positive type when they calculate and establish the alternative/criterion matrix, and therefore a higher preference is assigned to any alternative that has a more desirable value for this criterion. Accordingly, in the next step, all the data will be normalized with the same relation.
| Linguistic Term | Crisp Value |
| Very poor (VP) | 1 |
| Poor (P) | 3 |
| Fair (F) | 5 |
| Good (G) | 7 |
| Very good (VG) | 9 |
In Tables 6 and 7, the experts’ opinions are combined to form an integrated alternative/criterion matrix.
| Alternatives | Experts | C1 | C2 | C3 | C4 | C5 | C6 | C7 | C8 |
| A1 | Expert 1 | G | F | F | F | VP | F | G | F |
| Expert 2 | F | F | F | G | F | G | F | P | |
| Expert 3 | P | G | P | VG | VP | F | G | G | |
| A2 | Expert 1 | G | F | G | G | P | G | VG | G |
| Expert 2 | F | F | P | VG | G | VG | G | F | |
| Expert 3 | F | G | F | G | F | G | F | F | |
| A3 | Expert 1 | P | F | F | VG | G | VG | VG | VG |
| Expert 2 | G | G | VP | F | F | VG | VG | F | |
| Expert 3 | P | F | G | VG | VG | VG | G | G | |
| A4 | Expert 1 | F | G | G | P | F | G | P | P |
| Expert 2 | F | G | G | VP | F | P | G | G | |
| Expert 3 | G | P | F | P | P | F | VP | F | |
| A5 | Expert 1 | G | G | F | P | G | P | F | F |
| Expert 2 | F | G | G | VP | F | VP | G | F | |
| Expert 3 | VG | F | VG | F | G | F | F | F | |
| A6 | Expert 1 | F | F | G | P | G | P | P | G |
| Expert 2 | G | F | P | P | F | P | F | G | |
| Expert 3 | G | G | F | G | VG | VP | F | F |
| Alternatives | C1 | C2 | C3 | C4 | C5 | C6 | C7 | C8 |
| A1 | 5 | 5.667 | 4.333 | 7 | 2.333 | 5.667 | 6.333 | 5 |
| A2 | 5.667 | 5.667 | 5 | 7.667 | 5 | 7.667 | 7 | 5.667 |
| A3 | 4.333 | 5.667 | 4.333 | 7.667 | 7 | 9 | 8.333 | 7 |
| A4 | 5.667 | 5.667 | 6.333 | 2.333 | 4.333 | 5 | 3.667 | 5 |
| A5 | 7 | 6.333 | 7 | 3 | 6.333 | 3 | 5.667 | 5 |
| A6 | 6.333 | 5.667 | 5 | 4.333 | 7 | 2.333 | 4.333 | 6.333 |
Based on Step 2 of the MABAC method, it is time to create a normalized decision matrix. In this step, the elements of the alternative/criterion matrix are normalized using Equation (9). The normalized decision matrix is provided in Table 8.
The next step is to create a normalized weighted decision matrix. In this step, the average weights obtained from the FBWM technique for the criteria (Table 4) are substituted in Equation (11) and the normalized weighted decision matrix is formed, which is provided in Table 9. In Step 4 of the MABAC method, the boundary approximation area is obtained; and this boundary must be calculated for each criterion. The results of the calculations are provided in Table 10.
Based on Step 5 of the MABAC method, the distances of the alternatives from the border approximation area are calculated using Equation (15). These distances are provided in Tables 11 and 12). In the matrix of the distances of the alternatives from border approximation area, it can be seen that in which of the three areas each alternative is located for each criteria.
| Alternatives | C1 | C2 | C3 | C4 | C5 | C6 | C7 | C8 |
| A1 | 0.255 | 0 | 0 | 0.875 | 0 | 0.5 | 0.571 | 0 |
| A2 | 0.555 | 0 | 0.25 | 1 | 0.571 | 0.8 | 0.714 | 0.334 |
| A3 | 0 | 0 | 0 | 1 | 1 | 1 | 1 | 1 |
| A4 | 0.5 | 0 | 0.75 | 0 | 0.429 | 0.4 | 0 | 0 |
| A5 | 1 | 1 | 1 | 0.125 | 0.857 | 0.1 | 0.429 | 0 |
| A6 | 0.75 | 0 | 0.25 | 0.375 | 1 | 0 | 0.143 | 0.667 |
| Alternatives | C1 | C2 | C3 | C4 | C5 | C6 | C7 | C8 |
| A1 | 0.196 | 0.101 | 0.154 | 0.193 | 0.063 | 0.234 | 0.165 | 0.162 |
| A2 | 0.236 | 0.101 | 0.193 | 0.206 | 0.099 | 0.281 | 0.18 | 0.216 |
| A3 | 0.157 | 0.101 | 0.154 | 0.206 | 0.126 | 0.312 | 0.21 | 0.324 |
| A4 | 0.236 | 0.101 | 0.269 | 0.103 | 0.09 | 0.218 | 0.105 | 0.162 |
| A5 | 0.314 | 0.202 | 0.308 | 0.116 | 0.117 | 0.172 | 0.15 | 0.162 |
| A6 | 0.275 | 0.101 | 0.193 | 0.142 | 0.126 | 0.156 | 0.12 | 0.27 |
| BAA | C1 | C2 | C3 | C4 | C5 | C6 | C7 | C8 |
| gj | 0.230 | 0.113 | 0.204 | 0.155 | 0.101 | 0.222 | 0.151 | 0.208 |
| Alternatives | C1 | C2 | C3 | C4 | C5 | C6 | C7 | C8 |
| A1 | -0.03 | -0.012 | -0.05 | 0.038 | -0.04 | 0.012 | 0.014 | -0.05 |
| A2 | 0.006 | -0.012 | -0.012 | 0.051 | -0.001 | 0.059 | 0.029 | 0.008 |
| A3 | -0.07 | -0.012 | -0.05 | 0.051 | 0.025 | 0.09 | 0.059 | 0.116 |
| A4 | 0.006 | -0.012 | 0.065 | -0.052 | -0.01 | -0.003 | -0.05 | -0.05 |
| A5 | 0.084 | 0.089 | 0.104 | -0.039 | 0.016 | -0.05 | -0.001 | -0.05 |
| A6 | 0.045 | -0.012 | -0.012 | -0.013 | 0.025 | -0.07 | -0.03 | 0.062 |
| Alternatives | Q | Rank |
| A1 | -0.116 | 6 |
| A2 | 0.1269 | 3 |
| A3 | 0.2061 | 1 |
| A4 | -0.1 | 5 |
| A5 | 0.1566 | 2 |
| A6 | -0.002 | 4 |
For the final ranking, the values of criterion functions are calculated for each alternative using Equation (17). The values are ranked from largest to smallest.
The results of the final ranking of sustainable public transportation alternatives show that Metro has the highest capability and desirability for solving public transportation problems in Tehran. Metro is very effective for reducing traffic problems and air pollution in cities. Higher safety, lower environmental pollutants, lower energy consumption, reasonable speed, convenience, and low fare for passenger transportation compared to private cars are among the advantages of using Metro compared to other public vehicles. The second alternative is E-Hailing, which refers to the process of online requesting a car or taxi via a smartphone, personal computer or laptop. In recent years, factors such as efficiency and convenience of working with the application, the availability of multiple cars, respect for passenger rights and, most importantly, reasonable fares have encouraged travelers to use this service. After selecting the origin and destination, the application first checks the possible routes to the destination; then the fare will be calculated and displayed by considering the traffic and also the time of day. For example, if you request a trip at the beginning of a workday and in the early hours of the morning, because there is not much traffic, you will pay a lower fare than other times (e.g. evening). The companies providing these services encourage and attract their customers to use their services by providing discount codes. BRT is the third alternative for public transportation in this study. BRTs in Tehran are very fast, convenient, safe, and cheap that transports many people around the city every day and has a large share of public transportation in this city.
It is clear that the results of the study further highlight the importance of urban policymakers’ support for superior public transportation systems. We can say that improving the quality of BRT and metro services will eventually lead to a reduction in private car traffic. Of course, the use of public transport should be easily accessible from all parts of the city and more economical than using private cars. In general, these mentioned measures and the implementation of traffic plans can lead to a reduction in air pollution in Tehran. In addition, reducing the traffic of private cars will eventually lead to a reduction in noise pollution caused by cars’ noise and speed. In Tehran, various plans in the field of transportation and traffic have been implemented for many years, the aim of which has been to organize traffic and improve sustainable transportation indicators in the city. Therefore, considering the direct and indirect impact of public transportation systems on the improvement of urban life indicators, the need to create a sustainable public transportation assessment system will be a necessity. In addition, transportation policy makers can set future medium and long-term plans through these assessments and their ongoing review.
CONCLUSION
Determining the type of public transportation system is one of the main challenges for sustainable development of cities. In this study, considering the importance and necessity of evaluating and prioritizing public transportation systems, the sustainable public transportation alternatives were ranked using an integrated MCDM framework which included FBWM and MABAC techniques. For this purpose, first, the criteria for evaluating a sustainable public transportation system were identified by reviewing the literature and opinions of experts; a group of three experts determined the weight and importance of each criterion using FBWM. The MABAC method was then used to rank sustainable public transport alternatives. According to the results, metro, e-hailing, and BRT are the most important urban transportation alternatives in Tehran, respectively. The results of this study emphasize the need for long-term use of Metro as a sustainable development strategy. Of course, it should be noted that in future planning for the construction of the Metro lines, the current and potential capacity of transportation, the affected population, the amount of required investment, and the planning of executive activities should be considered. Also, by providing facilities to the private sector, they can be encouraged to provide some credits. On the other hand, e-hailing and BRT systems can be extended parallel to the metro system. Automation of service delivery systems and the use of credit cards instead of cash have become popular in Tehran in the last decade, but officials and policymakers, in addition to developing public transportation systems, must also pay attention to the depreciation of the current fleet and modernize it in a timely manner.
Here are some suggestions for future research:
● The proposed framework can be used for any research that seeks to assess sustainable public transport systems for a particular region or city.
● Investigating the barriers to the implementation of sustainable public transport systems using the results of our research.
● Applying the proposed framework to evaluate the performance of policy-making units in the field of public transportation in order to achieve sustainability.
● Investigating heterogeneity in the evaluation of sustainable public transportation in Tehran using the results and the proposed approach of the present study.
CONSENT FOR PUBLICATION
Not applicable.
AVAILABILITY OF DATA AND MATERIALS
The data sets used during the current study can be provided from the corresponding author [M.K.G], upon reasonable request.
FUNDING
None.
CONFLICT OF INTEREST
Dr. Mehdi Keshavarz-Ghorabaee is the Editorial Board Member of The Open Transportation Journal.
ACKNOWLEDGEMENTS
Declared none.


















