All published articles of this journal are available on ScienceDirect.
Tracking Road Safety Efficiency Gains Over Time Within the Gulf Cooperation Council Region
Abstract
Objective
This study evaluates and tracks the progress of road safety performance in six high-income Gulf Cooperation Council (GCC) countries from 2010 to 2019, using a Data Envelopment Analysis (DEA)-based Malmquist Productivity Index (MPI). It employs both the constant and variable return-to-scale perspectives.
Methods
Using the DEA-based Malmquist framework, this study creates a composite index for GCC countries and benchmarks their road safety efficiency, which few previous studies have comprehensively examined. The study measured road safety performance using various input and output variables, including the number of vehicles, population, road quality, implementation of road safety practices, road crash fatality rates, and economic burden due to road injuries.
Results
Over the ten-year period, the findings reveal significant disparities in fatal crash risk and road safety progress among GCC countries. While some countries have shown improvements in efficiency and technology, others have experienced stagnation or regression. Top-performing countries have primarily improved road safety through technological advancements.
Conclusion
GCC countries have significant potential to reduce road crash outcomes and enhance overall road safety. Policymakers can leverage the insights from this research to identify key areas for improvement, guide targeted interventions, allocate resources more efficiently, and formulate comprehensive policies for impactful and sustainable road safety strategies.
1. INTRODUCTION
The road safety problem is a significant global concern, with approximately 1.35 million fatalities occurring each year due to road crash injuries, making it one of the leading causes of death worldwide, particularly among young people aged 5 to 29 years [1, 2]. Despite advancements in vehicle safety and infrastructure, factors such as distracted driving, speeding, and driving under the influence of alcohol or drugs continue to contribute to high road crash rates. Vulnerable road users, including pedestrians and cyclists, face disproportionate risks, especially in low- and middle-income countries where over 90% of road fatalities occur despite these regions having only about 60% of the world's vehicles [3].
The economic burden of road crash injuries is substantial, costing countries up to 3% of their gross domestic product (GDP) and straining healthcare systems [3]. The crisis is exacerbated in low and middle income countries, where rapid urbanization and increased vehicle ownership often outpace the development of adequate road infrastructure and enforcement of traffic laws. This hinders the progress of the Global Plan for the Decade of Action for Road Safety 2021-2030, advocated by the World Health Organization (WHO) 2021, aiming to half road crash deaths by 2030 [4].
Addressing the multifaceted road safety problem requires a comprehensive approach that includes stricter regulations, improved infrastructure, public education campaigns, and enhanced emergency response systems to effectively reduce fatalities and injuries on the roads [1]. In this context, several countries are currently implementing the “Safe system” approach to enhance road safety [5]. The approach underscores the need to design road safety to account for human error, guaranteeing that errors do not result in fatal or serious injuries. It promotes a holistic view of road safety, integrating various elements, such as road design, vehicle safety, and user behavior, to create a safer road environment for all users, emphasizing shared responsibility among stakeholders, and prioritizing the safety of vulnerable road users.
Countries in the Middle East and North Africa (MENA) have varying levels of road crash burdens and adherence to road safety practices [2]. Gulf Cooperation Council (GCC) member states, such as Bahrain, Qatar, and the United Arab Emirates (UAE), have the lowest road crash fatality rates in MENA, while Saudi Arabia has the highest [6]. The discovery of oil in GCC countries has led to increased road construction and traffic owing to population growth and an increased number of vehicles. However, this has also resulted in higher rates of traffic fatalities and economic losses compared to those in developed countries [7]. The presence of expatriates from diverse driving cultures further complicates road safety in these countries. Although many GCC countries have developed road safety strategies, research on their effectiveness is scarce. Analysing and evaluating road safety progress is crucial for making informed transportation decisions and reducing the risk of crashes and injuries. This helps monitor and implement safety initiatives, set and achieve targets, allocate resources, and involve stakeholders in the process of road safety progress [8].
A more comprehensive evaluation of road safety progress must consider a multitude of factors in the road system, including infrastructure, law enforcement, socioeconomic status, and culture [6-8]. Relying on a single safety indicator, such as the crash fatality rate, provides policymakers with little guidance and may lead to biased perspectives that overlook the complex nature of road safety systems. Thus, to perform a thorough evaluation and comparative analysis across countries, an aggregate road safety indicator, or index, is required [9]. Such an index requires a weighting strategy to determine the relative importance of selected safety indicators.
Currently, there is no widely accepted mechanism for weight allocation [10]. An alternative strategy for evaluating road safety efficiency involves utilizing a Data Envelope Analysis (DEA) model. This model enables the creation of composite indices and incorporates the Malmquist index to track time-dependent development. The weights generated by the DEA model are data-driven and not influenced by subjective opinions [11].
The DEA model, developed by Charnes et al. [12], is a mathematical strategy used to assess and compare similar elements based on input and output variables. It measures the efficiency of Decision-Making Units (DMUs), such as countries, in generating outputs while using inputs. The model avoids the need for subjective weighing and measures inputs and outputs in different units without having to normalize the data [10, 13, 14]. DMUs with 100% efficiency are considered productive benchmarks, whereas those producing fewer outputs with the same inputs or more inputs with the same outputs are considered inefficient. The DEA model has two variations: constant returns to scale (CRS) [12] and variable returns to scale (VRS) [15], which can be input- or output-oriented. An output-oriented DEA scenario in road safety requires a reduction in output (e.g., crash fatalities) relative to inputs [13]. This adjustment is in contrast with the basic model proposed by Charnes et al. [12]. In addition, the DEA-based Malmquist model is a popular choice for evaluating safety changes in productivity and efficiency over time.
The CRS model in DEA assumes that a proportional increase in inputs leads to a proportional increase in output. This implies that doubling the resources allocated to a road safety program (e.g., funding and infrastructure) would result in a doubling of the safety outcomes (e.g., reduced fatalities and injuries) [11]. The CRS model is useful for identifying the most efficient road safety interventions that exhibit a linear relationship between inputs and outputs. This can help policymakers allocate resources more effectively, as they can identify programs that provide the greatest safety benefits per unit of input. However, the VRS model relaxes the CRS assumption and allows for varying returns to scale in road safety, indicating that input-output relationships may not be linear. It helps to identify programs with economies of scale (greater output from increased inputs) or diseconomies of scale (less output from increased inputs). This insight helps policymakers determine the optimal scale for interventions and effectively allocate resources.
While DEA models focus on relative efficiency at a given point in time, the Malmquist index is a useful tool for assessing how productivity changes over time. They divide productivity changes into efficiency and technological changes. This is valuable because it can help to identify whether improvements in road safety are due to better resource utilization (efficiency) or advances in safety technology and practices. By tracking these productivity changes, policymakers can better understand the drivers of road safety performance and accordingly target their interventions [10].
Therefore, this study aims to analyse and compare the road safety performance of GCC countries using a DEA-based Malmquist framework. The study focuses on measuring the combined effects of efficiency and technological changes on road safety in 2010, 2015, and 2019. The goal is to enable policymakers to monitor the effectiveness of programs implemented in each country and adjust them based on accumulated experience. We measured changes in road safety efficiency using the DEA method, which compares country efficiency scores over time and against benchmarks. This illustrates the extent to which input resources are successfully converted into road safety outputs. Additionally, we examine technological changes to identify ways in which countries can improve road safety technologies and practices.
The next section provides a brief review of the relevant research on the identification of the most significant road safety indicators and the extended DEA models used to investigate progress in road safety. An outline of the study's methodology follows, which includes a description of the DEA-Malmquist model, input and output variables, and corresponding data sources.
2. LITERATURE REVIEW
Road safety is a critical issue that affects all road users. Implementation of effective road safety measures can help prevent road crashes and reduce the number of fatalities and serious injuries. A key strategy is the “Safe System” approach, which aims to ensure that in the event of a crash, the impact energies remain below the threshold likely to cause death or serious injury [16]. This involves considerations such as vehicle speed, road design, and user behavior. Studies have shown that simple prevention measures can potentially halve the number of road traffic deaths [1]. Additionally, research indicates that driver perceptions and attitudes significantly influence traffic behaviours [17]. Comprehensive road safety management, including policy, infrastructure, and enforcement, is necessary to create a safe environment for all road users [18].
A periodic road safety performance evaluation is a critical component of effective road safety management. They play a crucial role in monitoring and improving road safety outcomes across different regions and countries. One approach that has gained traction in the literature is the use of the Data Envelope Analysis (DEA)-based Malmquist Productivity Index (MPI) model. This model evaluates progress in road safety performance over time based on multiple input and output safety performance indicators and other underlying factors that influence road safety outcomes.
Tešić et al. [19] found that a smaller set of indicators or factors could be used to effectively assess road safety. They also identified the most important indicators for each country, which could help standardize and monitor road safety performance. This suggests that decision-makers can focus on a smaller set of indicators for a more efficient assessment of road safety levels. However, utilizing a smaller set of indicators may overlook important road safety factors [20].
Recent studies have employed the DEA-Malmquist model to assess road safety performance in various country’s contexts. For example, Chorfi and El Khatai [21] utilized the DEA-MPI methodology to assess the evolution of road safety performance in Morocco from 2014 to 2022. According to the study, Morocco's road safety performance has not improved satisfactorily, failing to meet the country's current road strategy goal of a 50% reduction in fatalities by 2026. The Malmquist productivity index analysis shows no consistent progress in efficiency or technical changes, highlighting the need for urgent technical and managerial improvements to effectively tackle road safety challenges.
In China, Kang and Wu [22] analysed road safety in Chinese provinces from 2007 to 2016 using the DEA-based Malmquist index. Their findings indicated significant improvements in road safety, with productivity in 2016 being 1.433 times greater than that in 2007, largely due to technological advancements.
Shen et al. [23] examined road safety performance in Europe using an adjusted DEA model with risk exposure measurements and road fatalities as the inputs and outputs. They explored different model extensions and used cluster analysis to group countries with similar practices. The authors identified the best- and worst-performing countries in each cluster using a categorical DEA-RS model. Shen et al. [13] introduced a DEA-based Malmquist productivity index to measure road safety progress from 2001 to 2010. Additionally, considering the hierarchical structure and data uncertainty of the indicators, Shen et al. [11] developed a hierarchical approach using the DEA model to create and compare road safety performance indicators across EU countries.
Tejada et al. [14] studied road safety efficiency in Spain from 2014 to 2018, using the DEA-based Malmquist Index and Safety Performance Indicators. They assessed factors such as road investments, new vehicle proportions, and education levels. The study revealed changes in efficiency, highlighting areas of efficient contraction and technological progress in road safety.
In the United States, Eglimez et al. [10] developed a DEA-based Malmquist index model to evaluate the efficiency of 50 states in reducing fatal crashes. The study found a slightly negative productivity of -0.2%, with a 2.1% decline in efficiency and a 1.8% technological improvement. Despite a decline in fatality rates, the study concluded that U.S. states do not efficiently utilize resources to achieve zero fatalities.
Ganji and Rassafi [24] assessed the road safety performance in Iranian provinces from 2014 to 2016 using a double-frontier slack-based DEA Malmquist productivity index. Their findings revealed significant variations in productivity, with some provinces improving and others declining. The study offers a comprehensive evaluation for policymakers; however, interpreting the anti-efficient frontier and trade-offs in road safety can be complex, potentially limiting practical applicability owing to the model's technical demands.
The existing literature demonstrates the versatility of the DEA-Malmquist model for evaluating road safety performance while acknowledging limitations such as data uncertainties, regional applicability, and model complexity. The current study aims to contribute to this body of literature by providing a comprehensive analysis of the progress in road safety performance in the GCC region using the DEA-Malmquist model. By incorporating the latest data and building on the insights from previous international studies, this research will offer valuable insights for policymakers and road safety authorities in GCC countries to identify areas for improvement and guide the implementation of targeted interventions. Table 1 provides an overview of the input and output indicators used in the reviewed DEA models and other DEA models.
| Authors/Refs. | Method | Inputs | Outputs |
|---|---|---|---|
| Hermans et al. [42] | DEA-based road safety indicator for European countries | • % of road users respecting the blood alcohol limit, • % of drivers driving below the maximum speed limit, • % of new cars (< 6 years old), • Density of motorways, • Share of GDP spent on health care, • % of persons wearing seatbelts, • Legislation on daytime running lights. |
-- |
| Hermans [9] | DEA for benchmarking targets for DMUs | • % of road users respecting the blood alcohol limit, • % of drivers driving below the maximum speed limit, • % of new cars (< 6 years old), • Density of motorways, • Share of GDP spent on health care, • % of persons wearing seatbelts. |
• Road fatalities per million inhabitants, • Injury crashes per 100,000 inhabitants. |
| Shen et al. [11, 13] |
DEA, and DEA-based Malmquist index for assessing road safety over time | • Number of inhabitants, • Passenger kilometers traveled, • Passenger cars. |
• Number of road fatalities. |
| Egilmez and McAvoy [10] |
DEA to assess relative efficiency for DMUs | • Highway safety expenditures, • Registered vehicles, licensed drivers, • Vehicle-miles traveled, • safety belt usage, • Overall road condition. |
• Number of road fatalities. |
| Kang and Wu [22] | DEA-based Malmquist index for assessing road safety over time | • Number of inhabitants, • Passenger kilometers traveled, • Passenger cars. |
• Number of accidents, • Number of fatalities, • Number of injuries, • Property damage. |
| Zhu et al. [28] | DEA extension – cross-efficiency, regret theory, and weighted aggregated sum Product assessment | • % registered drivers in total population, • % of heavy goods vehicles, • % of freeways in classified highways, • Life expectancy, • GDP per capita, • Health technicians per inhabitant, • % of health expenditure as GDP. |
• Fatalities per road accident, • Number of injured per road accident. |
| Tejada et al. [14] | DEA-based Malmquist index for measuring road safety performance over time | • Total investment per kilometer of road, • Average vehicle intensity, • % of high-capacity roads, • % of new registered vehicles, • Number of people with higher education, • Cost per MVKT (million vehicle-km traveled). |
• Average time it takes, in minutes, to lose one euro owing to the risk of death or injury in traffic accidents. |
| Ganji and Rassafi [24] | Double-frontier slack-based DEA Malmquist productivity index | • Average no. of highway police stations along 100 km of road, • Average no. of stations along 100 km of road, • Average no. of equipment and vehicles along 100 km of road, • The average no. of fixed speed and monitoring cameras along 100 km of road, • The average no. of EMS stations along 100 kilometers of road, • The average length of road equipped with lighting systems along 100 km of road. |
• The inverse of fatality risk, including the number of fatalities per mean rate of hourly traffic |
3. METHOD
3.1. DEA and the Malmquist Index
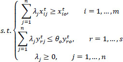
The basic output-oriented DEA model maximizes output with minimal input [12]. However, the adjusted road safety DEA model suggests that fewer outputs and more inputs can identify top-performing DMUs (countries). For a given input, the best-performing countries show the greatest decrease in output (e.g., crash fatalities). The efficiency of a DMU ranges from zero to one. A DMU with a score of one is at the frontier and is considered efficient, while a DMU with a score of less than one is inefficient. Using Shen et al.'s [13, 23] adjusted output-oriented model, the safety performance score at any given point in time t,
, is expressed as (Eq. 1)
![]() |
![]() |
(1) |
where
is the uniform proportional reduction in the DMUo's (DMU under evaluation) outputs. Its minimum amount is known as the DEA efficiency score
for DMUo. λj is the weight produced by DMUj;
and
refer to the ith input and rth output at a given point in time t, respectively, produced by DMUo; and
and
are the ith input and rth outputs produced by DMUj
To measure DMU performance over time, efficiency and productivity were combined to create a DEA-Malmquist productivity index (MPI) [25]. Unlike conventional production functions or index techniques, MPI can be categorized into two components: measuring the change in efficiency (Effch) and measuring the change in frontier technology (Techch). The former, Effch, indicates the change in efficiency from period t to t+1, reflecting an inefficient DMU's capability to catch up with efficient DMUs. This could be achieved, for instance, by increasing road user education and by encouraging the use of public transport. Techch measures the shift in the technology frontier between two periods. This includes, for example, the introduction of safer vehicles and improvements to road infrastructure.
Both efficiency and technological improvements are required to improve road safety. An estimated MPI measures the combined effect of Effch and Techch for each DMU (country) throughout the period, along with their individual effects. The product of Effch and Techch results in MPI. Thus, Effch and Techch must be determined to obtain the change in the DMU's total factor productivity over time (MPI). Following Shen et al.’s [13] parameterization, we consider the input-output of two countries, A(x 0, y 0) and B(x1, y1), in time periods t and t+1. Identifying the efficient country in each time period as
and
the efficiency score for country A in each time period can be measured as the distance functions of A,
and
Thus, the efficiency change in country A from t to t+1 is as follows (Eq. 2):
![]() |
(2) |
The efficiency change reflects the capability of an inefficient DMU to catch up with efficient DMUs. Effch > 1 implies progress and the relative efficiency of the DMUo increases from period t to t+1, whereas Effch=1 and Effch<1 imply no change and regression in efficiency, respectively. The
is given by Eq. (1), and
was derived also from Eq. (1), and Shen et al. [13], as follows (Eq. 3):
![]() |
![]() |
(3) |
where
, and
denote the ith input and rth output of the jth DMU at times t and t+1, respectively.
On the other hand, technological change, Techch, measures the shift in the technology frontier between two time periods t and t+1. Thus, the efficiency change ratio of country A, TechchA between t and t+1 using inputs and outputs at time t is given by (Eq. 4)
![]() |
(4) |
where the denominator
is the relative efficiency of
with respect to the frontier at time t+1. It measures country as performance at time t+1 based on previous inputs and outputs (at time t), indicating adaptability and effectiveness in leveraging new technologies or operational methods.
Similarly, the efficiency change ratio of country A, TechchA', between t and t+1 using inputs and outputs at time t+1 is determined as (Eq. 5):
![]() |
(5) |
where the nominator
is the relative efficiency of
with respect to the frontier at time t. It assesses country A's performance at time t using subsequent inputs and outputs (at time t+1), indicating the country's adaptability and effectiveness in leveraging newer resources.
Therefore, the overall Techch is defined as the geometric mean of the two Techchs in Eqs. (6).
![]() |
(6) |
The mixed-period measurements
and
in Eq. (6) are obtained using Eq. (1). Values of Techch greater than one indicate an improvement in technological change, whereas values equal to or less than one indicate status quo and deterioration, respectively.
Finally, the output-oriented DEA-Malmquist index (MPI) measures the total factor productivity change of a particular DMUo from period t to t+1 and is estimated by multiplying Effch and Techch derived in Eqs. (2 and 6), respectively (Eq. 7):
![]() |
(7) |
MPI>1 represents progress in the DMU's total factor productivity from period t to t+1, whereas MPI=1 and MPI<1 indicate status quo and productivity deterioration, respectively.
Furthermore, VRS was incorporated by introducing convexity constraints ∑λj=1, into the linear program [26]. Therefore, the efficiency change index in Eq. (2), Effch, resulting from the CRS scenario can be decomposed into two components: pure efficiency change (PEffch) and scale efficiency change (SEffch) (Eq. 8).
![]() |
(8) |
PEffch is a component of the efficiency change (Effch>) obtained by re-computing the efficiency changes under VRS, which is the efficiency change measured between periods. In the road safety context, PEffch captures changes in road safety efficiency while maintaining scale. That is, regardless of the magnitude or resources, it indicates whether the implemented safety measures are more effective in reducing undesirable road safety outcomes, such as injury rates. This implies better resource allocation, improved enforcement, enhanced education, and more effective engineering measures. Furthermore, SEffch is the ratio of the efficiency under CRS and the same efficiency under VRS, which indicates the efficiency change determined by the scale of DMUo. SEffch reflects changes in the scale or size of road safety measures. It determines whether there have been changes in the magnitude, resources allocated, or activities linked to road safety. This assists in determining whether efficiency gains are mostly due to changes in the scale of the road safety measures deployed or improvements in the effectiveness of existing measures.
3.2. Defining and Exploring DEA Input and Output Variables
The study used the DEA Malmquist-based framework to assess short and long term road safety performance in GCC countries. We utilized data from 2010, 2015, and 2019 from various sources, considering inputs such as vehicle numbers, population sizes, road quality, and road safety best practices. The outputs included road crash fatalities and economic burdens.
3.2.1. Input Variables
3.2.1.1. Vehicle in Use
This highlights the importance of the number of vehicles as an indicator for policymakers to assess motorization, vehicle safety, and infrastructure adequacy. It emphasizes that car ownership increases with GDP growth and is associated with increased road crash risk [2]. The International Organization of Motor Vehicle Manufacturers' database [27] provides data for this variable (Table 2).
3.2.1.2. Number of Inhabitants (population size)
This factor is important for road safety as it determines the level of exposure and interaction between road users and the transportation system. A higher population density leads to greater traffic congestion and increased crash risk [29]. However, a well-maintained road infrastructure can mitigate these risks, and higher population numbers may be associated with lower car ownership and increased use of public transportation, which can improve road safety. We sourced data for this variable (Table 2) from the World Bank database [30].
3.2.1.3. Road Quality
This is a crucial intermediate factor in road safety as it contributes to the final outcomes and impacts the likelihood and severity of road crashes. It measures the level of investment in road infrastructure and evaluates the state of a country's road network in terms of its surface, capacity, and connectivity. Global Compe- titiveness Reports (GCR): 2010, 2015, 2019) [31] provided data for this variable (Table 2). The overall road infrastructure quality of a country was based on the World Economic Forum's survey of business leaders in their countries of operation, which used a Likert scale ranging from one to seven.
3.2.1.4. Best Practices
This comprise strategies, policies, and interventions aimed at improving road safety outcomes, such as reducing road crash fatalities [2]. The WHO has recognized various road safety best practices, such as (i) the establishment of an institutional framework and designated lead agency for traffic safety, (ii) a national road safety strategy, (iii) the implementation of formal audits for new road construction, and (iv) regular audits of existing roads. Other best practices include enforcing national laws and measures to promote safer road use, such as (v) speed limits, (vi) drunk driving regulations, (vii) motorcycle helmet use, and (viii) seatbelt use. The best practices include (ix) post-crash care and (x) accessible pre-hospital care. Totalling the scores for the ten measures outlined above yields an overall score that
| Country | Bahrain | SA | Kuwait | Qatar | UAE | Oman | |
|---|---|---|---|---|---|---|---|
| Input variables: | |||||||
| Vehicles in use (million): | |||||||
| 2010 | 0.4432 | 4.8700 | 1.4455 | 0.7300 | 1.4395 | 0.6800 | |
| 2015 | 0.5784 | 6.6000 | 1.8762 | 1.0200 | 2.1400 | 0.9800 | |
| 2019 | 0.6380 | 7.2798 | 2.0729 | 1.1616 | 2.4036 | 1.1040 | |
| Inhabitants (million): | |||||||
| 2010 | 1.21 | 29.41 | 2.94 | 1.71 | 8.48 | 2.88 | |
| 2015 | 1.36 | 32.75 | 3.91 | 2.41 | 8.92 | 4.19 | |
| 2019 | 1.49 | 35.83 | 4.44 | 2.81 | 9.22 | 4.60 | |
| Road quality score: | |||||||
| 2010 | 5.5 | 5.5 | 5.0 | 4.9 | 6.3 | 6.2 | |
| 2015 | 5.4 | 5.0 | 4.5 | 5.4 | 6.6 | 5.6 | |
| 2019 | 5.2 | 5.2 | 3.7 | 5.5 | 6.0 | 5.7 | |
| WHO – Best practice road safety score: | |||||||
| 2010 | 23 | 25 | 23 | 29 | 36 | 31 | |
| 2015 | 36 | 30 | 31 | 37 | 46 | 42 | |
| 2019 | 40 | 27 | 21 | 40 | 46 | 46 | |
| Output variables: | |||||||
|
Road crash fatalities (fatality rate per 100,000 inhabitants): |
|||||||
| 2010 | 131 (10.8) |
7294 (24.8) | 592 (20.1) | 272 (15.9) | 1645 (19.4) | 801 (27.8) | |
| 2015 | 102 (7.5) |
8580 (26.2) | 735 (18.8) | 268 (11.1) | 1614 (18.1) | 683 (16.3) | |
| 2019 | 78 (5.2) |
12862 (35.9) | 684 (15.4) | 205 (7.3) | 820 (8.9) |
488 (10.6) | |
| Macroeconomic burden (% of GDP 2015-2030 according to Chen et al. [33]): | |||||||
| - | 0.047 | 0.202 | 0.072 | 0.078 | 0.263 | 0.321 | |
| Macroeconomic burden (Millions of US$): | |||||||
| 2010 | 12.2 | 1028.5 | 69.0 | 91.2 | 743.8 | 201.5 | |
| 2015 | 14.6 | 1321.6 | 82.5 | 126.2 | 973.8 | 252.7 | |
| 2019 | 16.4 | 1371.8 | 82.4 | 130.7 | 1060.8 | 266.6 | |
3.2.2. Output Variables
3.2.2.1. Road Crash Fatalities
This variable directly reflects the ultimate outcome of various factors that influence overall road safety [9, 22, 28]. Divided by the total number of inhabitants, it provides an indication of the risk of road fatalities for individuals living in an area and allows for a standardized comparison across different countries. Fatality data for each country were sourced from the World Bank Database [30, 32] (Table 2).
3.2.2.2. Macroeconomic Burden
Chen et al. [33] estimated the economic burden of road-traffic-related injuries in 166 countries, considering factors such as the impact on labour supply, education and experience of victims, and the redirection of expenses away from savings. They projected the economic burden for each country in the GCC region from 2015 to 2030, along with the corresponding percentage of GDP that this burden represents [34] (Table 2).
The societal and economic burden of road crashes has increased over time in all GCC countries, with Oman having the highest and Bahrain having the lowest economic burden (Table 2). However, road crash deaths per capita have decreased in most GCC countries except for Saudi Arabia, where fatality rates have increased from 24.8 to 35.9 per 100,000 inhabitants. Investments in road construction, traffic law enforcement, road safety awareness programs, and improved emergency services and trauma centers may explain the decline in fatality rates. Most GCC countries, except for Saudi Arabia and Kuwait, have improved their implementation of best practices for road safety over time (Table 2). The GCC group identified the UAE and Oman as the top performers. Countries with the highest overall scores for implementing best practices, such as the UAE, Oman, Bahrain, and Qatar, also had the lowest fatality rates. It is important to consider multiple aspects of road safety, rather than just fatality rates when evaluating road safety performance in GCC countries. Therefore, by aggregating multiple inputs and outputs, this study aims to evaluate road safety performance in GCC countries over time using the DEA-based Malmquist model.
In the context of the DEA model, it is anticipated that some input variables, namely road quality and the overall score of best practices in road safety, will have a decreasing impact on outputs, such as road crash fatalities and the macroeconomic burden of road crashes. However, vehicle use and population size are expected to have an increasing impact on output. Consequently, a reciprocal transformation was applied to these two variables to ensure a consistent direction of effect for all inputs on output when using the DEA model.
4. RESULTS
Road safety performance in GCC countries has been inconsistent from 2010 to 2019 (Table 3). The average efficiency scores indicate that the region did not achieve optimal levels of road safety improvement. There is untapped potential for mitigating undesirable road safety outcomes. In 2015, the CRS and VRS evaluation perspectives had the lowest average scores, suggesting that GCC countries could reduce their undesirable road safety outputs by a significant percentage of 43.5% and 21.5%, respectively. The year 2019 saw only slight progress. The gap between the best- and worst-performing GCC countries is rather large (Table 3). Bahrain is the only country that consistently maintained an efficiency score of one throughout the entire period, while Kuwait and Saudi Arabia also showed comparable performance but only in the VRS evaluation scenario, indicating that the two countries have the potential to improve road safety outcomes without increasing resource inputs. Notably, Saudi Arabia consistently maintained the lowest CRS scores, indicating potential for future improvements in road safety. Overall, Table 3 shows that there is room for improvement in road safety outcomes in the GCC countries.
Using the Malmquist index (MPI), Table 4 shows the overall factor productivity changes in road safety in GCC countries. Overall, there was an improvement in road safety between 2010 and 2019. The average total factor productivity in road safety increased by over 68% in 2019 compared to 2010. All GCC members showed improvements, but their performances varied. Only Qatar and the UAE showed a steady improvement. While Oman improved by approximately three times when comparing the 2010 performance to 2019, the UAE and Qatar improved by approximately two times.
Table 5 displays the estimates for the DEA efficiency change index (Effch) and changes in road safety efficiency over time from Eq. (8). The index is divided into two components: pure efficiency change (PEffch) and scale efficiency change (SEffch), as discussed in Section 3.1. PEffch evaluates the effectiveness of resource utilization in reducing road crashes, regardless of scale. In contrast, SEffch assesses whether the size of the safety program is appropriate. For road safety, this could mean investing in infrastructure or resource allocation to meet a country's
| GCC Member | CRS | VRS | ||||
|---|---|---|---|---|---|---|
| 2010 | 2015 | 2019 | 2010 | 2015 | 2019 | |
| Bahrain | 1.000 | 1.000 | 1.000 | 1.000 | 1.000 | 1.000 |
| SA | 0.319 | 0.277 | 0.274 | 1.000 | 1.000 | 1.000 |
| Kuwait | 0.729 | 0.573 | 0.645 | 1.000 | 1.000 | 1.000 |
| Qatar | 0.780 | 0.669 | 0.719 | 1.000 | 0.713 | 0.750 |
| UAE | 0.551 | 0.401 | 0.575 | 0.669 | 0.493 | 0.704 |
| Oman | 0.375 | 0.470 | 0.482 | 0.391 | 0.505 | 0.520 |
| Average | 0.626 | 0.565 | 0.616 | 0.843 | 0.785 | 0.829 |
| GCC Member | 2015/10 | 2019/15 | 2019/10 |
|---|---|---|---|
| Bahrain | 0.948 | 1.075 | 1.020 |
| SA | 0.981 | 0.969 | 1.020 |
| Kuwait | 1.076 | 1.106 | 1.230 |
| Qatar | 1.440 | 1.540 | 2.000 |
| UAE | 1.054 | 2.055 | 2.170 |
| Oman | 1.815 | 1.469 | 2.670 |
| Average | 1.219 | 1.369 | 1.683 |
| Country/Component | 2015/10 | 2019/15 | 2019/10 |
|---|---|---|---|
| Efficiency change (Effch) | |||
| Bahrain | 1.000 | 1.000 | 1.000 |
| Saudi Arabia | 0.867 | 0.992 | 0.860 |
| Kuwait | 0.786 | 1.125 | 0.884 |
| Qatar | 0.858 | 1.075 | 0.922 |
| UAE | 0.728 | 1.434 | 1.044 |
| Oman | 1.254 | 1.025 | 1.285 |
| Average | 0.915 | 1.108 | 0.999 |
| Pure efficiency change (PEffch) | |||
| Bahrain | 1.000 | 1.000 | 1.000 |
| Saudi Arabia | 1.000 | 1.000 | 1.000 |
| Kuwait | 1.000 | 1.000 | 1.000 |
| Qatar | 0.713 | 1.050 | 0.750 |
| United Arab Emirates | 0.737 | 1.430 | 1.050 |
| Oman | 1.293 | 1.030 | 1.330 |
| Average | 0.957 | 1.085 | 1.022 |
| Scale efficiency change (SEffch) | |||
| Bahrain | 1.000 | 1.000 | 1.000 |
| Saudi Arabia | 0.867 | 0.992 | 0.860 |
| Kuwait | 0.786 | 1.125 | 0.884 |
| Qatar | 1.204 | 1.020 | 1.229 |
| UAE | 0.987 | 1.004 | 0.991 |
| Oman | 0.970 | 0.995 | 0.965 |
| Average | 0.969 | 1.023 | 0.988 |
Table 5 also shows the scale efficiency change (SEffch). Changes in scale efficiency capture the disparity between GCC members in road safety activities or intervention programs. Qatar is the only GCC member that has shown scale efficiency improvements (23%), an increase in the magnitude of allocated resources, and road safety activities over the long term from 2010 to 2019. Bahrain made no gains in scale efficiency (score = 1), whereas the remaining GCC members experienced deteriorating scale efficiency (score < 1).
Table 6.
| GCC Member | 2015/10 | 2019/15 | 2019/10 |
|---|---|---|---|
| Bahrain | 0.948 | 1.075 | 1.020 |
| SA | 1.131 | 0.977 | 1.180 |
| Kuwait | 1.370 | 0.983 | 1.390 |
| Qatar | 1.678 | 1.433 | 2.100 |
| UAE | 1.448 | 1.430 | 2.070 |
| Oman | 1.448 | 1.433 | 2.070 |
| Average | 1.295 | 1.222 | 1.585 |
Overall, the GCC members seem to have performed well in implementing better safety technology from 2010 to 2019, as shown in Table 6, with an average increase of over 58% in 2019 compared with 2010. Qatar, the UAE, and Oman emerged as leading technological innovators in the region, exhibiting notable improvements in road safety technology performance from 2010 to 2019. By using new productivity-enhancing technologies, each of the three countries more than doubled their road safety performance (Table 6). This means that in Oman, for example, the same road quality, implementation of the same road safety practices, number of vehicles in use, and population size in 2019 would result in 107% fewer undesirable outputs (fatalities and economic burden) than those in 2010. Saudi Arabia and Kuwait improved by more than 18% and 39%, respectively, during the same period, whereas Bahrain progressed by only 2% (Table 6).
5. DISCUSSION
The study found that road crashes and injuries have significant economic and social impacts on GCC countries. Among the six GCC countries, Oman, the UAE, and Saudi Arabia had the highest road crash costs as a percentage of GDP, placing them 3rd, 7th, and 12th in the global ranking of 166 countries [33]. The study also found that different metrics for measuring road safety produced different rankings and conclusions for the GCC countries. This suggests the use of a composite DEA-based Malmquist index that combines multiple road safety variables for a more comprehensive assessment.
The United Nations Decade of Action for Road Safety (2011–2020) aimed to reduce road crash fatalities and injuries by 50% by 2020 [35]. Bahrain, Qatar, the UAE, and Oman achieved this goal, whereas Saudi Arabia and Kuwait struggled. UAE, Oman, and Qatar had the highest scores for implementing road safety practices among the 23 MENA countries [6]. Despite Saudi Arabia's high score on this metric, no decrease in road crash mortality was observed. This may be because of the lack of enforcement of traffic laws.
In general, GCC countries have made considerable efforts to improve their road safety. The Malmquist Productivity Index (MPI) shows that total factor productivity has increased from 2010 to 2019. Oman saw the most significant improvement, with a 167% increase, followed by the UAE with a 117% improvement, and Qatar with a 100% improvement. The MPI breakdown reveals that Oman and the UAE improved through pure efficiency changes, whereas Qatar improved through scale efficiency changes. This suggests that Oman and the UAE invested in road infrastructure and resource utilization, while Qatar operated on a larger scale than necessary.
GCC countries have been working to improve road safety through different strategies and policies. For example, the UAE released road safety audit manuals in 2007 in Dubai and 2018 in Abu Dhabi [36]. The country set a goal in 2010 to reduce fatal crashes to three fatalities per 100,000 inhabitants by 2021 but fell slightly short of the target, scoring only 4.1. However, the country managed to achieve the global target of halving road crash deaths from the baseline set by the WHO Decade of Action for Road Safety 2011–2020 and to adopt some elements of the save system approach, which is considered among the factors that contributed to reducing the number of road fatalities in the country [1]. This study, based on the Malmquist total productivity index (MPI) and subsequent components, shows that the UAE is leading other GCC countries in utilizing resources and implementing road safety management and enforcement strategies. The country succeeded in utilizing technology to monitor traffic, provide real-time information, promote safe driving, and improve the road infrastructure [36].
According to the WHO global safety report [16], Oman, Qatar, and Kuwait have reliable systems for recording road fatalities, aiding the effective implementation of road safety strategies. Qatar's national development strategy (2011–2016) [37] has achieved its goal of reducing road crashes (from 300 to 250 per 100,000) and fatalities (from 14 to 10), and it has set a new target in 2013 to further reduce fatalities to six per 100,000 inhabitants by 2022 [8, 38]. Part of Qatar's success is its post-crash care system and unified emergency response number. The country also implemented intelligent transportation system network technologies in 2011 to improve driving and promote economic growth [39, 40]. Qatar has made remarkable progress in improving road safety compared to neighbouring countries, as indicated by the high Malmquist total factor productivity index score.
The WHO [8] recognized Oman as a successful road safety strategy implemented by the National Committee for Road Safety (NCRS) in 2009. In addition to traffic awareness campaigns, the country has undertaken various projects, including the construction of new road systems and the establishment of advanced post-crash medical services. Most of Oman's initiatives, including techno- logical intervention strategies, are based on research recommendations from Oman's National Research Council (NRC). Despite population and vehicle growth, Oman has achieved a significant reduction in road crash fatalities and has the highest Malmquist total factor productivity index (MPI) score in the GCC for road safety practices.
In 2015, Bahrain implemented a new traffic law and demerit system to address road crashes, resulting in a decrease in ambulance calls and minor injuries but no significant changes in serious injuries or fatalities [40]. Based on the DEA-Malmquist index and its components, Bahrain has made consistent progress in road safety, utilizing resources, implementing comprehensive mea- sures, and employing advanced technologies to improve road conditions and reduce crashes, with no real changes over time [41].
The Malmquist index and its components indicate that Kuwait and Saudi Arabia made efforts to improve road safety from 2010 to 2019, although their productivity and efficiency gains differed from those of other GCC countries. Kuwait initiated several safety initiatives, including a strategy plan in 2010, a data-sharing system in 2016, and an emergency control unit in 2018 [8]. Saudi Arabia has launched similar initiatives. In 2019, the Kingdom established trauma centers and tightened seatbelt and child restraint rules to improve road safety and public infrastructure as part of its 2030 Vision [8].
Finally, road safety in GCC countries has improved, but there is still a gap compared to that in developed nations. Fatality rates remain high, necessitating a comprehensive approach involving legislation, enforce- ment, infrastructure improvements, education, and technology. Continuous monitoring and evaluation are crucial to maintain progress.
CONCLUSION
This study used a DEA-based Malmquist model to analyse the road safety performance in GCC countries from 2010 to 2019 under both CRS and VRS scenarios. This study used various road safety indicators from different sources to evaluate the efficiency and productivity of road safety management. The results showed that most GCC countries have the potential to improve road safety outcomes by utilizing their resources more effectively. The study also compared countries' performance over time and identified the UAE, Qatar, and Oman as leaders in road safety improvements. They have made significant investments in road infrastructure, intelligent transportation and safety systems. The study highlights the need for a more coordinated and targeted policy approach to address the significant disparities in fatal crash risk and road safety progress among GCC member countries. This necessitates tailored interventions focusing on resource allocation, sharing best practices, and adopting advanced technologies in underperforming countries. The following recommendations from this study may help GCC members achieve consistent road safety improvements. GCC members need to:
- Encourage collaboration to share best practices and successful initiatives and technologies; focus on road safety research among institutions; and enable knowledge transfer and mutual learning for improved understanding and solutions.
- Develop and implement technologically enabled and data-driven road safety strategies or update existing ones, periodically evaluate effectiveness, and ensure transparency through public progress reports for trust and accountability.
- Invest in smart traffic systems, automated enforcement, and safety technologies, prioritizing interventions in regions with the highest crash rates, and using data for effective resource allocation.
LIMITATIONS OF THE STUDY
The study analysed DEA input and output variables for road safety in 2010, 2015, and 2019. These years were used to assess short- and long-term performance. Overall, each variable showed either an increase or decrease over the ten-year period. Some studies argue that factors such as population growth, road improvements, and safety practices take time to have an impact; therefore, yearly changes may be random fluctuations. It is important to note that the DEA technique has assumptions and limitations that should be considered when evaluating results. For example, this technique compares a country's road safety performance with that of other countries in the dataset, thereby measuring efficiency only relative to the best practices within the sample.
AUTHORS' CONTRIBUTION
I.A.A.: study conception and design, data collection, analysis and interpretation of results, and manuscript preparation.
LIST OF ABBREVIATIONS
| GCC | = Gulf Cooperation Council |
| MPI | = Malmquist Productivity Index |
| GCC | = Gulf Cooperation Council |
| WHO | = World Health Organization |
| MENA | = Middle East and North Africa |
| GSRs | = Global Status Reports |











